8.5 KiB
center, transition, theme, title, subtitle, author
| center | transition | theme | title | subtitle | author | |
|---|---|---|---|---|---|---|
| true | slide | white | Mathématiques pour non spécialistes | Désintégration audioactive |
|
Mathématiques pour non spécialistes
Désintégration audioactive
Oscar Plaisant
Définition
!désintégration audioactive#^definition
Exemples
--
Exemple 1
111211211111221312211131122211113213211
--
Exemple 1
1 \longrightarrow \text{un } 111 \longrightarrow \text{deux }121 \longrightarrow \text{un }2,\quad \text{un }11211 \longrightarrow \text{un }1,\quad \text{un }2,\quad \text{deux }2\underline{111\!}\,221 \longrightarrow \text{trois }1,\quad \text{deux }2,\quad \text{un} 1312211131122211113213211
--
"désintégration audioactive"
--
Exemple 2
22 \longrightarrow \text{deux } 2
22
22
\vdots
--
Exemple 3
49
1419
11141119
31143119
132114132119
11131221141113122119
note: n'augmente pas toujours sa longueur, mais augmente tendanciellement
--
Exemple 3
49
14\cdot19
1114\cdot1119
3114\cdot3119
132114\cdot132119
1113122114\cdot1113122119
Notations
- nombres
\hookrightarrowchiffres 12 \longrightarrow 1112,11,12,[11et12]1^{3}2^{1}1^{\geq 2}(\neq 1)^{3}[1^{3}X^{1 \text{ ou } 2}
Propriétés
--
Première propriété évidente
Pour une étape : a^{\alpha}b^{\beta}c^{\gamma}d^{\delta}\cdots \longrightarrow \alpha a\beta b\gamma c\delta d\cdots
Il est évident que : a\neq b,\quad b\neq c,\quad c\neq d,\dots
--
Théorème du jour 1
Les morceaux de type :
,ax,bx,devrait être dérivé en(a+b)xx^{\geq 4}=\begin{cases}x,xx,x\cdots \\ ,xx,xx, \cdots\end{cases}impossiblex^{3}y^{3}=\begin{cases},xx,xy,yy, \text{ un cas de } ,ay,by, \\ x,xx,xy,y \text{ un cas de } ,ax,bx,\end{cases}
n'apparaîssent plus après 1 jour.
--
Théorème du jour 2
Après 2 jours, on ne peut plus avoir :
- apparition d'un
\geq 4carx^4impossible (thm. J1) 3X3=\begin{cases},3X,3y \longleftarrow X^3y^3 {\,\color{red}\Large \times } \text{ (thm. J1)} \\ 3,X3, {\,\color{red}\Large \times } \text{ (thm. J1)}\end{cases}
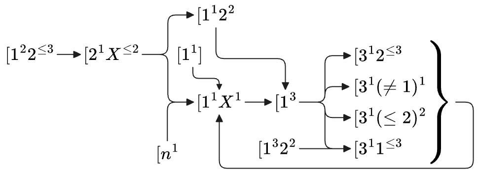
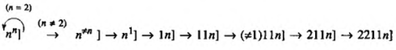
Théorème du début
Le début arrivera toujours sur l'un de ces cycles :
\overparen{[ \;\; ]} \longrightarrow [\;\;] \longrightarrow [\;\;] \longrightarrow \cdots\overparen{[2^{2}]} \longrightarrow [2^{2}] \longrightarrow [2^{2}] \longrightarrow\overparen{[1^{1}X^{1} \longrightarrow [1^{3} \longrightarrow [3^{1}X^{\neq 3}} \longrightarrow [1^{1}X^{1} \longrightarrow \cdots\overparen{[2^{2}1^{1}X^{1} \longrightarrow [2^{2}1^{3} \longrightarrow [2^{2}3^{1}X^{\neq 3}} \longrightarrow [2^{2}1^{1}X^{1} \longrightarrow \cdots
--
Théorème du début — Exemple
[37][1317][11131117][{\color{#080}311}331 = [3^{1}1^{2} = \color{#080}[3^{1}X^{\neq 3}pourX=3[{\color{#09b}13}2123 = [1^{1}3^{1} = \color{#09b}[1^{1}X^{1}[{\color{#d80}111}312 = \color{#d80}[1^{3}[{\color{#080}311}311 = [3^{1}1^{2} = \color{#080}[3^{1}X^{\neq 3}[{\color{#09b}13}21 = [1^{1}3^{1} = \color{#09b}[1^{1}X^{1}[{\color{#d80}111}312 = \color{#d80}[1^{3}\vdots
--
Théorème du début — Démonstration
- Montrer que toutes les chaînes des jours
\geq 2ont une certaine forme (lister les cas)- équivalent pour
Rne commençant pas par22et pourR = [22\cdot R'
- équivalent pour
- Vérifier que ces cas arrivent tous à l'un des cycles
--
Théorème du début — Démonstration
Théorème du découpage
[!definition] Découpage Quand les descendants de
LetRn'interfèrent jamais dansLR, c'est-à-dire :\forall n,\quad (LR)_{n} = L_{n}R_{n}On dit que
LRse découpe enL \cdot R
--
Théorème du découpage
[!definition] Découpage trivial
[\;\;]\cdot RouL \cdot [\;\;]
[!definition] Atome
- atome : morceau sans découpage non trivial
--
Théorème du découpage
Une chaîne de \geq 2 jour LR se découpe en L \cdot R seulement si l'un et vide ou dans un de ces cas :
| L | R |
|---|---|
n] |
[m |
| $2]$ |
[1^1X^1 ou [1^{3} ou [3^{1}X^{\neq 3} ou [n^{1} |
| $\neq 2]$ |
[2^{2} 1^{1}X^{1} ou [2^{2}1^{3} ou [2^{2}3^{1}X\neq 3 ou [2^{2}n^{(0 \text{ ou } 1)} |
avec n \geq 4 et m \leq 3
--
Théorème du découpage
Suit directement :
- du théorème du début pour R
- du fait que la fin de
Lest constante
Théorème de la fin
--
Théorème de la fin
Démonstration par disjonction des cas entre :
- les chaînes qui terminent par 1
\tiny 1^{\geq 3}] \longrightarrow (\neq 2)^{X}1^{1}] \longrightarrow (\neq 2)^{X}1^{2}] \longrightarrow 2^{X \neq 2}1^{1}] \longrightarrow 2^{X \neq 2}1^{2}] \longrightarrow 2^{2}1^{1}] \longrightarrow 2^{2}1^{2}] \longrightarrow 2^{3}1^{1}]
- les chaînes qui terminent par
n > 1
--
Théorème de la fin
Théorème chimique
Les 92 éléments
!attachments/Capture d’écran 2026-03-30 à 02.54.50.png !attachments/Capture d’écran 2026-03-30 à 02.57.24.png--
Théorème chimique
- Les descendants d'un élément sont composés d'éléments
- Tous ces éléments engendrent (après assez de jours) une chaîne contenant les 92 éléments simultanément
- Les descendants te toute chaîne autre que
[\;\;]et[22]engendrent (après assez de jours) une chaîne contenant les 92 éléments simultanément
Les éléments transuraniques
Pour tout n \geq 4
- Plutonium (Pu) :
1221132221222112112322211n- (Li) pour
n=2, (W) pourn=3
- (Li) pour
- Neptunium (Np) :
1311222113321132211221121332211n- (He) pour
n=2, (Ta) pourn=3
- (He) pour
Théorème arithmétique
[!definition] Chaîne commune On dit qu'une chaîne est commune si elle est un composé d'atomes communs.
--
Théorème arithmétique
- Les longueurs de toutes les chaînes communes (sauf
[\;\;]et[22]) augmentent géométriquement avec une raison\lambda > 1 - Les abondances relatives des éléments dans ces chaînes tendent vers des valeurs fixes
>0
--
Théorème arithmétique
Concept de la preuve
v_{i} \in \mathbb{N}^{92}compte les atomes de numéroidans une chaîne- compter les atomes
\sim{}\!\!compter les chiffres (longueur des atomes\leq 42)
- compter les atomes
- à chaque dérivation,
vest multiplié parMM_{i,j} = \# E_{j} \text{ dans le dérivé de } E_{i}
- Th. chimique
\implies M_{i,j} > 0sii \neq 1 v_0M^{n} \sim \lambda^{n} \longrightarrow \lambda = \small\text{ plus grande valeur propre de } M
--
Théorème arithmétique
Constante de conway
v_0M^{n} \sim \lambda^{n}
\lambda := \text{ plus grande valeur propre de } M
\lambda = 1.30357726903\dots- polynôme de degré 71
Théorème cosmologique
Toute chaîne commune finit par se "désintégrer" en un composé d'éléments (communs et transuraniques) après un nombre borné d'étapes de dérivation.
\implies toute chaîne finit par augmenter (sa longueur) avec une raison \lambda
Source
Open problems in communication and computation (Cover, T. M., Gopinath, B), consulté le 2026-03-27





