This website requires JavaScript.
Explore
Help
Sign In
oskar
/
cours
Watch
1
Star
0
Fork
0
You've already forked cours
Code
Issues
Pull Requests
Packages
Projects
Releases
Wiki
Activity
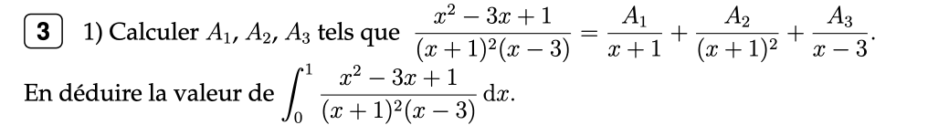
Files
a8d183600e0ea238b88c58f3bf107f67e6919551
cours
/
attachments
/
markmind
/
1666181443317.png
oscar.plaisant@icloud.com
a2ee0fa5ca
from github to this gitea
2023-10-23 23:09:51 +02:00
30 KiB
1039x137px
Raw
History