3.4 KiB
3.4 KiB
center, transition
| center | transition |
|---|---|
| true | slide |
Définition
!désintégration audioactive#^definition
Exemples
--
Exemple 1
1 \longrightarrow \text{un } 111 \longrightarrow \text{deux }121 \longrightarrow \text{un }2,\quad \text{un }11211 \longrightarrow \text{un }1,\quad \text{un }2,\quad \text{deux }2\underparen{111\!}\,221 \longrightarrow \text{trois }1,\quad \text{deux }2,\quad \text{un} 1312211131122211113213211
--
Exemple 2
22 \longrightarrow \text{deux} 2
22
22
\vdots
Notations
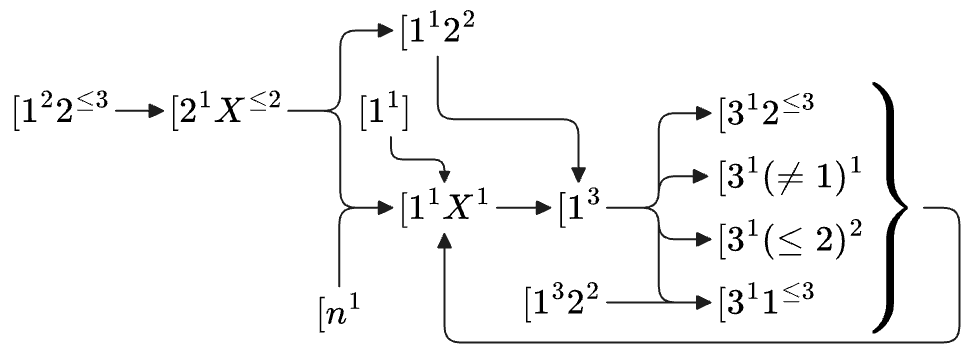
12 \longrightarrow 1112,11,12,[11et12]1^{3}2^{1}1^{\geq 2}(\neq 1)^{3}[1^{3}X^{1 \text{ ou } 2}
Propriétés
--
Première propriété évidente
Pour une étape : a^{\alpha}b^{\beta}c^{\gamma}d^{\delta}\cdots \longrightarrow \alpha a\beta b\gamma c\delta d\cdots
Il est évident que : a\neq b,\quad b\neq c,\quad c\neq d,\dots
--
Théorème du jour 1
Les morceaux de type :
,ax,bx,devrait être dérivé en(a+b)xx^{\geq 4}=\begin{cases}x,xx,x\cdots \\ ,xx,xx, \cdots\end{cases}impossiblex^{3}y^{3}=\begin{cases},xx,xy,yy, \text{ un cas de } ,ay,by, \\ x,xx,xy,y \text{ un cas de } ,ax,bx,\end{cases}
n'apparaîssent plus après 1 jour.
--
Théorème du jour 2
Après 2 jours, on ne peut plus avoir :
- apparition d'un
\geq 4carx^4impossible (thm. J1) 3X3=\begin{cases},3X,3y \longleftarrow X^3y^3 {\,\color{red}\Large \times } \text{ (thm. J1)} \\ 3,X3, {\,\color{red}\Large \times } \text{ (thm. J1)}\end{cases}
Théorème du début
Le début arrivera toujours sur l'un de ces cycles :
\overparen{[ \;\; ]} \longrightarrow [\;\;] \longrightarrow [\;\;] \longrightarrow \cdots\overparen{[2^{2}]} \longrightarrow [2^{2}] \longrightarrow [2^{2}] \longrightarrow\overparen{[1^{1}X^{1} \longrightarrow [1^{3} \longrightarrow [3^{1}X^{\neq 3}} \longrightarrow [1^{1}X^{1} \longrightarrow \cdots\overparen{[2^{2}1^{1}X^{1} \longrightarrow [2^{2}1^{3} \longrightarrow [2^{2}3^{1}X^{\neq 3}} \longrightarrow [2^{2}1^{1}X^{1} \longrightarrow \cdots
--
Théorème du début — Exemple
[37][1317][11131117][{\color{#080}311}331 = [3^{1}1^{2} = \color{#080}[3^{1}X^{\neq 3}pourX=3[{\color{#09b}13}2123 = [1^{1}3^{1} = \color{#09b}[1^{1}X^{1}[{\color{#d80}111}312 = \color{#d80}[1^{3}[{\color{#080}311}311 = [3^{1}1^{2} = \color{#080}[3^{1}X^{\neq 3}[{\color{#09b}13}21 = [1^{1}3^{1} = \color{#09b}[1^{1}X^{1}[{\color{#d80}111}312 = \color{#d80}[1^{3}\vdots
--
Théorème du début — Démonstration
- Montrer que toutes les chaînes des jours
\geq 2ont une certaine forme (lister les cas)- équivalent pour
Rne commençant pas par22et pourR = [22\cdot R'
- équivalent pour
- Vérifier que ces cas arrivent tous à l'un des cycles
--
Théorème du début — Démonstration
- Simplifier les cas (en assimiler certains)

