Files
cours/S2 LOGOS . mathématiques pour non spécialistes . rendu . présentation.md
T

8.5 KiB

center, transition, theme, title, subtitle, author
center transition theme title subtitle author
true slide white Mathématiques pour non spécialistes Désintégration audioactive
Oscar Plaisant

Mathématiques pour non spécialistes

Désintégration audioactive

Oscar Plaisant


Définition

!désintégration audioactive#^definition


Exemples

--

Exemple 1

  • 1
  • 11
  • 21
  • 1211
  • 111221
  • 312211
  • 13112221
  • 1113213211

--

Exemple 1

  • 1 \longrightarrow \text{un } 1
  • 11 \longrightarrow \text{deux }1
  • 21 \longrightarrow \text{un }2,\quad \text{un }1
  • 1211 \longrightarrow \text{un }1,\quad \text{un }2,\quad \text{deux }2
  • \underline{111\!}\,221 \longrightarrow \text{trois }1,\quad \text{deux }2,\quad \text{un} 1
  • 312211
  • 13112221
  • 1113213211

--

"désintégration audioactive"

--

Exemple 2

22 \longrightarrow \text{deux } 2

22

22

\vdots

--

Exemple 3

49

1419

11141119

31143119

132114132119

11131221141113122119

note: n'augmente pas toujours sa longueur, mais augmente tendanciellement

--

Exemple 3

49

14\cdot19

1114\cdot1119

3114\cdot3119

132114\cdot132119

1113122114\cdot1113122119


Notations

  • nombres \hookrightarrow chiffres
  • 12 \longrightarrow 1112
  • ,11,12,
  • [11 et 12]
  • 1^{3}2^{1}
    • 1^{\geq 2}(\neq 1)^{3}
    • [1^{3}X^{1 \text{ ou } 2}

Propriétés

--

Première propriété évidente

Pour une étape : a^{\alpha}b^{\beta}c^{\gamma}d^{\delta}\cdots \longrightarrow \alpha a\beta b\gamma c\delta d\cdots

Il est évident que : a\neq b,\quad b\neq c,\quad c\neq d,\dots

--

Théorème du jour 1

Les morceaux de type :

  • ,ax,bx, devrait être dérivé en (a+b)x
  • x^{\geq 4} =\begin{cases}x,xx,x\cdots \\ ,xx,xx, \cdots\end{cases} impossible
  • x^{3}y^{3} =\begin{cases},xx,xy,yy, \text{ un cas de } ,ay,by, \\ x,xx,xy,y \text{ un cas de } ,ax,bx,\end{cases}

n'apparaîssent plus après 1 jour.

--

Théorème du jour 2

Après 2 jours, on ne peut plus avoir :

  • apparition d'un \geq 4 car x^4 impossible (thm. J1)
  • 3X3 =\begin{cases},3X,3y \longleftarrow X^3y^3 {\,\color{red}\Large \times } \text{ (thm. J1)} \\ 3,X3, {\,\color{red}\Large \times } \text{ (thm. J1)}\end{cases}

Théorème du début

Le début arrivera toujours sur l'un de ces cycles :

  • \overparen{[ \;\; ]} \longrightarrow [\;\;] \longrightarrow [\;\;] \longrightarrow \cdots
  • \overparen{[2^{2}]} \longrightarrow [2^{2}] \longrightarrow [2^{2}] \longrightarrow
  • \overparen{[1^{1}X^{1} \longrightarrow [1^{3} \longrightarrow [3^{1}X^{\neq 3}} \longrightarrow [1^{1}X^{1} \longrightarrow \cdots
  • \overparen{[2^{2}1^{1}X^{1} \longrightarrow [2^{2}1^{3} \longrightarrow [2^{2}3^{1}X^{\neq 3}} \longrightarrow [2^{2}1^{1}X^{1} \longrightarrow \cdots

--

Théorème du début — Exemple

  • [37]
  • [1317]
  • [11131117]
  • [{\color{#080}311}331 = [3^{1}1^{2} = \color{#080}[3^{1}X^{\neq 3} pour X=3
  • [{\color{#09b}13}2123 = [1^{1}3^{1} = \color{#09b}[1^{1}X^{1}
  • [{\color{#d80}111}312 = \color{#d80}[1^{3}
  • [{\color{#080}311}311 = [3^{1}1^{2} = \color{#080}[3^{1}X^{\neq 3}
  • [{\color{#09b}13}21 = [1^{1}3^{1} = \color{#09b}[1^{1}X^{1}
  • [{\color{#d80}111}312 = \color{#d80}[1^{3}
  • \vdots

--

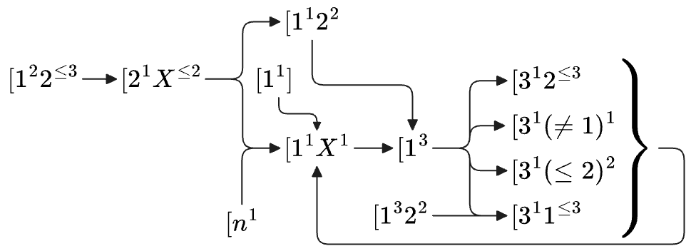
Théorème du début — Démonstration

  1. Montrer que toutes les chaînes des jours \geq 2 ont une certaine forme (lister les cas)
    • équivalent pour R ne commençant pas par 22 et pour R = [22\cdot R'
  2. Vérifier que ces cas arrivent tous à l'un des cycles

!attachments/Pasted image 20260330014744.png

--

Théorème du début — Démonstration

  1. Simplifier les cas (en assimiler certains) !attachments/Pasted image 20260330021624.png La version de Conway :

!attachments/Capture d’écran 2026-03-29 à 22.50.04.png


Théorème du découpage

[!definition] Découpage Quand les descendants de L et R n'interfèrent jamais dans LR, c'est-à-dire : \forall n,\quad (LR)_{n} = L_{n}R_{n}

On dit que LR se découpe en L \cdot R

--

Théorème du découpage

[!definition] Découpage trivial [\;\;]\cdot R ou L \cdot [\;\;]

[!definition] Atome

  • atome : morceau sans découpage non trivial

--

Théorème du découpage

Une chaîne de \geq 2 jour LR se découpe en L \cdot R seulement si l'un et vide ou dans un de ces cas :

L R
n] [m
$2]$
[1^1X^1 ou [1^{3} ou [3^{1}X^{\neq 3} ou [n^{1}
$\neq 2]$
[2^{2} 1^{1}X^{1} ou [2^{2}1^{3} ou [2^{2}3^{1}X\neq 3 ou [2^{2}n^{(0 \text{ ou } 1)}

avec n \geq 4 et m \leq 3

--

Théorème du découpage

Suit directement :

  • du théorème du début pour R
  • du fait que la fin de L est constante

Théorème de la fin

!attachments/Capture d’écran 2026-03-30 à 02.46.57.png

--

Théorème de la fin

Démonstration par disjonction des cas entre :

  • les chaînes qui terminent par 1
    • \tiny 1^{\geq 3}] \longrightarrow (\neq 2)^{X}1^{1}] \longrightarrow (\neq 2)^{X}1^{2}] \longrightarrow 2^{X \neq 2}1^{1}] \longrightarrow 2^{X \neq 2}1^{2}] \longrightarrow 2^{2}1^{1}] \longrightarrow 2^{2}1^{2}] \longrightarrow 2^{3}1^{1}]
  • les chaînes qui terminent par n > 1
    • !attachments/Capture d’écran 2026-03-30 à 02.50.33.png

--

Théorème de la fin

!attachments/Capture d’écran 2026-03-30 à 02.52.37.png


Théorème chimique

Les 92 éléments

!attachments/Capture d’écran 2026-03-30 à 02.54.50.png !attachments/Capture d’écran 2026-03-30 à 02.57.24.png

--

Théorème chimique

  1. Les descendants d'un élément sont composés d'éléments
  2. Tous ces éléments engendrent (après assez de jours) une chaîne contenant les 92 éléments simultanément
  3. Les descendants te toute chaîne autre que [\;\;] et [22] engendrent (après assez de jours) une chaîne contenant les 92 éléments simultanément

Les éléments transuraniques

Pour tout n \geq 4

  • Plutonium (Pu) : 1221132221222112112322211n
    • (Li) pour n=2, (W) pour n=3
  • Neptunium (Np) : 1311222113321132211221121332211n
    • (He) pour n=2, (Ta) pour n=3

Théorème arithmétique

[!definition] Chaîne commune On dit qu'une chaîne est commune si elle est un composé d'atomes communs.

--

Théorème arithmétique

  1. Les longueurs de toutes les chaînes communes (sauf [\;\;] et [22]) augmentent géométriquement avec une raison \lambda > 1
  2. Les abondances relatives des éléments dans ces chaînes tendent vers des valeurs fixes >0

--

Théorème arithmétique

Concept de la preuve

  • v_{i} \in \mathbb{N}^{92} compte les atomes de numéro i dans une chaîne
    • compter les atomes \sim{}\!\! compter les chiffres (longueur des atomes \leq 42)
  • à chaque dérivation, v est multiplié par M
    • M_{i,j} = \# E_{j} \text{ dans le dérivé de } E_{i}
  • Th. chimique \implies M_{i,j} > 0 si i \neq 1
  • v_0M^{n} \sim \lambda^{n} \longrightarrow \lambda = \small\text{ plus grande valeur propre de } M

--

Théorème arithmétique

Constante de conway

v_0M^{n} \sim \lambda^{n} \lambda := \text{ plus grande valeur propre de } M

  • \lambda = 1.30357726903\dots
  • polynôme de degré 71

Théorème cosmologique

Toute chaîne commune finit par se "désintégrer" en un composé d'éléments (communs et transuraniques) après un nombre borné d'étapes de dérivation.

\implies toute chaîne finit par augmenter (sa longueur) avec une raison \lambda


Source

Open problems in communication and computation (Cover, T. M., Gopinath, B), consulté le 2026-03-27